Numpy 공부중 np.sinh(), np.cosh(), np.tanh()가 나와서 메소드 공부하다가 "쌍곡선 함수, 쌍곡 삼각함수"라는 표현이 나와 포스팅하려 한다.
요즘 유튜브에 수학 개념 영상이 좋게 나와서 가볍게 이해하기 좋다.
밑에 참조해둔 영상을 기준으로 이해해 보겠다.
목차
1. 쌍곡선 함수의 개념과 정의
1.1 쌍곡선, 초점, 중심, 꼭짓점, 주축 등
1.2 쌍곡선 함수, 방정식 정의
2. 쌍곡선 삼각함수
2.1 Sinhx
2.2 coshx
2.3 tanhx
1. 쌍곡선 함수
1.1
- 쌍곡선 : 평면 위의 서로 다른 두 점 F, F'으로부터의 거리의 차가 일정한 점들의 집합을 "쌍곡선"이라 한다.
- 초점 : 서로 다른 두 점 F, F'를 "초점"이라 한다.
- 중심 : 이 F, F' 두 초점을 이은 선분의 중점(중심점)을 "중심"이라 한다.
- 꼭짓점 : F, F'를 이은 직선이 쌍곡선과 만나는 두 점을 각각 A, A'라고 하고, 이를 "꼭짓점"이라 한다.
- 주축 : 두 꼭짓점 A, A'를 이은 선분 AA'를 "주축"이라 한다.
그림을 통해 살펴보면

위 그림과 같이 이해할 수 있겠다.
실제 이 쌍곡선 함수가 어떻게 정의되고, 풀이되는지 알아보자.
1.2 쌍곡선 함수, 방정식 정의
쌍곡선 함수의 정의는 아래와 같다
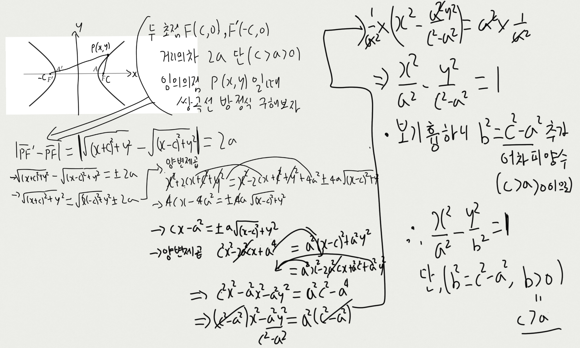
- 쌍곡선 함수의 두 초점 F(c, 0), F'(-c, 0), 두 초점과의 차는 2a, 쌍곡선 함수의 임의의 점 P(x, y)라고 할 때, 쌍곡선 방정식을 그려보자.
$$ \frac{x^2}{a^2}\ -\ \frac{y^2}{b^2}\ =\ 1\;\;(단, c>a>0, b^2\ =\ c^2\ -\ a^2)$$
위 방정식의 풀이과정은 아래 그림과 같다.

이와 같이 긴 과정으로 위의 수식을 도출했다.
그러면 실제로 위의 수식이 쌍곡선 그래프의 점을 결과로 갖는지 확인해보자.

실제 초점 F와 임의의 점 P와의 거리의 차를 구하는 식에 쌍곡선 방정식을 대입하면
우리가 정했던 2a라는 거리의 차가 나왔다.
관련한 풀이과정은 참조된 영상에 있다. 풀이과정이 깨끗하게 정리되지 않아 간략화한 풀이과정만 보이고 마무리하겠다.
2. 쌍곡선 삼각함수
우리가 실제로 포스팅을 하게 된 이유는 쌍곡선 삼각함수이다. np.sinh(), np.cosh(), np.tanh()들 말이다.
기본적으로 세 함수의 정의부터 알아보고 가자.
$$ sinhx\ =\ \frac{e^x\ -\ e^{-x}}{2} $$
$$ coshx\ =\ \frac{e^x\ +\ e^{-x}}{2} $$
$$ tanhx\ =\ \frac{sinhx}{coshx}\ =\ \frac{e^x\ -\ e^{-x}}{e^x\ +\ e^{-x}}$$
세 함수는 위와 같이 정의된다. 어떻게 그려지는지 확인해보자
어떻게 그려지는지 확인하기 전에
$$ \frac{e^x}{2} \;,\; \frac{e^{-x}}{2}$$
이 두 함수의 그래프를 알고 가면 이해가 더 쉬울 것 같다

극한값이 제대로 보이지 않아 다시 그려보면,

위와 같이 그려진다.
이 개념 이해하고 확인하도록 하자
2.1 Sinhx
$$ sinhx\ =\ \frac{e^x\ -\ e^{-x}}{2}\ =\ \frac{e^x}{2}\ -\ \frac{e^{-x}}{2} =\ \frac{e^x}{2}\ +\ (-\frac{e^{-x}}{2})$$

위 그림과 같이 그려지고, sinhx는 기함수임을 확인할 수 있다.
2.2 coshx
$$ coshx\ =\ \frac{e^x\ +\ e^{-x}}{2}\ =\ \frac{e^x}{2}\ +\ \frac{e^{-x}}{2}$$

위 그림과 같이 그려지고, coshx는 우함수임을 확인할 수 있다.
2.3 tanhx
$$ tanhx\ =\ \frac{sinhx}{coshx}\ =\ \frac{e^x\ -\ e^{-x}}{e^x\ +\ e^{-x}}$$
tanhx는 나눠서 바라보기 어렵다. 바로 그림을 그려보자

1과 -1을 기준으로 기함수의 형태로 그려진다.
이 tanhx는 머신러닝, 딥러닝에도 중요한 의미를 가진다.
왜냐하면 비선형 그래프로서, 함수값을 -1과 1, true와 false로 볼 수 있게 하기 때문이다.
x의 범위를 -10 ~ 10 정도로 바라보면

위 완만하게 연결되는 게 보이지만

범위를 크게 넓혀보면, tanhx의 함수값의 대부분이 1 혹은 -1의 값으로 수렴함을 이해할 수 있다.
이 함수를 이용하면, 데이터를 -1, 1로 구분할 수 있는 것이다.
이 정도로 마무리하겠다. 수학 전공자들에게는 참으로 부족한 수준이겠지만,,,,, 최소한의 이해를 위해 작성해본다, 화이팅
* 참조
- https://www.youtube.com/watch?v=itgBOVaY68s
- https://www.youtube.com/watch?v=2mAx1EYDPRo
'머신러닝 > 수학' 카테고리의 다른 글
| [수학] Sigmoid, tanh의 미분,도함수 / Activation Function(활성화 함수), 시그모이드, hyperbolic tangent (0) | 2021.10.20 |
|---|---|
| [수학] 미분, 순간변화율, 도함수, 합성함수 미분에 대하여 (0) | 2021.10.20 |
| [수학] 삼각함수의 기본 - sin cos tan의 정의와 주기/ 사인, 코사인, 탄젠트에 대한 간단한 정리 (0) | 2021.10.07 |
| [수학] 라디안과 각도와의 관계 / radian와 degree (0) | 2021.10.07 |
| [수학] 정규분포란 (0) | 2021.09.28 |
댓글